# 二进制双极性信号的理想判决

我们考虑最简单的一类调制信号,二进制双极性信号 (binary antipodal signal)

s1(t)=s(t),s2(t)=s(t)s_1(t)=s(t),s_2(t)=-s(t)

发送这两种信号的概率分别是

Pr{s1(t)}=p,Pr{s2(t)}=1pPr\{s_1(t)\}=p,Pr\{s_2(t)\}=1-p

不难注意到我们可以使用基底

ϕ1(t)=s1(t)s1(t)\phi_1(t)=\frac{s_1(t)}{||s_1(t)||}

表示该信号。假设信号的能量为Eb\mathcal{E}_b,不失一般性地,我们将符号s1(t)s_1(t) 判决域表示为D1\mathcal{D}_1,回忆上一节的 MAP 判决准则

m^=arg max1mN[N02logPm+rTsm12Em]=arg max1mN[ηm+rTsm]\hat{m}=\argmax_{1\le m\le N}[\frac{N_0}{2}\log{P_m}+\textbf{r}^T\textbf{s}_m-\frac{1}{2}\mathcal{E}_m]=\argmax_{1\le m\le N}[\eta_m+\textbf{r}^T\textbf{s}_m]

我们能够得到判决域的表示

D1={rR:η1+rs1>η2+rs2}={rR:N02logpEb2+rEb>N02log(1p)Eb2rEb}={rR:r>N04Eblog1pp}threshold decision\begin{aligned} \mathcal{D}_1=&\{r\in\mathbb{R}:\eta_1+rs_1>\eta_2+rs_2\}\\ =&\{r\in\mathbb{R}:\frac{N_0}{2}\log p-\frac{\mathcal{E}_b}{2}+r\sqrt{\mathcal{E}_b}>\frac{N_0}{2}\log(1-p)-\frac{\mathcal{E}_b}{2}-r\sqrt{\mathcal{E}_b}\}\\ =&\underbrace{\{r\in\mathbb{R}:r>\frac{N_0}{4\sqrt{\mathcal{E}_b}}\log\frac{1-p}{p}\}}_{\rm threshold\ decision} \end{aligned}

鉴于二进制双极性信号的性质,这里的r,s1,s2r,s_1,s_2 均采用标量表示以减少麻烦。根据判决域的表达形式,我们发现实际上对于二进制双极性信号,理想判决就是判断接收值是否超过了某一个阈值rthresr_{thres}

观察理想判决函数,如果我们需要实现错误率最低的接收,我们需要精确的计算概率pp 和信号的强度Eb\mathcal{E}_b,估计信道噪声的N0N_0。这些条件还是比较麻烦的。

我们记阈值rthres=N04Eblog1ppr_{thres}=\cfrac{N_0}{4\sqrt{\mathcal{E}_b}}\log\cfrac{1-p}{p},可以得到理想判决函数:

gopt(r)={1,if r>rthrestie,if r=rthres2,if r<rthresg_{opt}(r)=\begin{cases} 1,&{\rm if\ }r>r_{thres}\\ tie,&{\rm if\ }r=r_{thres}\\ 2,&{\rm if\ }r<r_{thres} \end{cases}

其中r=rthresr=r_{thres} 时是无法判断的,但是在实际情况下基本可以不用考虑。

接下来,我们来分析其错误率,由于是二进制信号,信号的 SER 就等于 BER:

Pe=m=12PmmmDmf(rsm)dr=pD2f(rs=Eb)drmistake s1 for s2+(1p)D1f(rs=Eb)drmistake s2 for s1=prthresf(rs=Eb)dr+(1p)rthresf(rs=Eb)dr\begin{aligned} P_e =&\sum_{m=1}^{2}P_m\sum_{m'\neq m}\int_{\mathcal{D}_{m'}}f(r|s_m){\rm d}r\\ =&\underbrace{p\int_{\mathcal{D}_2}f(r|s=\sqrt{\mathcal{E}_b}){\rm d}r}_{\rm mistake\ s_1\ for\ s_2} +\underbrace{(1-p)\int_{\mathcal{D}_1}f(r|s=-\sqrt{\mathcal{E}_b}){\rm d}r}_{\rm mistake\ s_2\ for\ s_1}\\ =&p\int_{-\infty}^{r_{thres}}f(r|s=\sqrt{\mathcal{E}_b}){\rm d}r +(1-p)\int_{r_{thres}}^{\infty}f(r|s=-\sqrt{\mathcal{E}_b}){\rm d}r \end{aligned}

观察上式中的积分部分,不失一般性地,我们以左边为例,发送的符号s=Ebs=\sqrt{\mathcal{E}_b} 在经过了 AWGN 信道之后,接收的符号满足 Gaussian 分布

N(Eb,N02)\mathcal{N}(\sqrt{E}_b,\frac{N_0}{2})

错误率的表达式因此可以写成

Pe=pPr{N(Eb,N02)<rthres}+(1p)Pr{N(Eb,N02)>rthres}=pPr{N(Eb,N02)<rthres}+(1p)Pr{N(Eb,N02)<rthres}=pQ(EbrthresN0/2)+(1p)Q(Eb+rthresN0/2)\begin{aligned} P_e=&pPr\{\mathcal{N}(\sqrt{E}_b,\frac{N_0}{2})<r_{thres}\} +(1-p)Pr\{\mathcal{N}(-\sqrt{E}_b,\frac{N_0}{2})>r_{thres}\}\\ =&pPr\{\mathcal{N}(\sqrt{E}_b,\frac{N_0}{2})<r_{thres}\} +(1-p)Pr\{\mathcal{N}(\sqrt{E}_b,\frac{N_0}{2})<-r_{thres}\}\\ =&pQ(\frac{\sqrt{\mathcal{E}_b}-r_{thres}}{\sqrt{N_0/2}})+ (1-p)Q(\frac{\sqrt{\mathcal{E}_b}+r_{thres}}{\sqrt{N_0/2}}) \end{aligned}

这个形式还是可以进行数值计算的。

不过,让我们考虑一个更好的情况,在发送的s1s_1s2s_2 等概的条件下,我们可以采用 ML 接收机实现。此时,我们发现rthres=0r_{thres}=0,此时实现理想接收也不需要估计信号能量和噪声电平。在这种情况下,接收端的错误率可以化简为

Pe=Q(2EbN0)P_e=Q(\sqrt{\frac{2\mathcal{E}_b}{N_0}})

# 二进制等概率正交信号的理想判决

下面我们考虑二进制等概率正交信号 (binary equal-probable orthogonal signal) 的情况。考虑发送端两种调制符号s1(t)s_1(t)s2(t)s_2(t),分别对应一对正交的基底

s1(t)=ϕ1(t),s2(t)=ϕ2(t)s_1(t)=\phi_1(t),s_2(t)=\phi_2(t)

根据上一节叙述的 ML 判决准则,对于符号s1s_1,接收机的理想判决域

D1={rR2:rs1<rs2}\mathcal{D}_1=\{\textbf{r}\in\mathbb{R}^2:||\textbf{r}-\textbf{s}_1||<||\mathbf{r}-\textbf{s}_2||\}

不难注意到,符号错误的情况为D1f(rs2)\int_{\mathcal{D}_1}f(\textbf{r}|\textbf{s}_2)D2f(rs1)\int_{\mathcal{D}_2}f(\textbf{r}|\textbf{s}_1)。对于判决域D1\mathcal{D}_1,我们考虑接收矢量r=s2+n\textbf{r}=\textbf{s}_2+\textbf{n},有

rs1<rs2    s2+ns1<n    (s2s1)+n2<n2    s2s12+n2+2(s2s1)Tn<n2    (s2s1)Tn<12s2s12\begin{aligned} &||\textbf{r}-\textbf{s}_1||<||\mathbf{r}-\textbf{s}_2||\\ \iff&||\textbf{s}_2+\textbf{n}-\textbf{s}_1||<||\textbf{n}||\\ \iff&||(\textbf{s}_2-\textbf{s}_1)+\textbf{n}||^2<||\textbf{n}||^2\\ \iff&||\textbf{s}_2-\textbf{s}_1||^2+\sout{||\textbf{n}||^2}+2(\textbf{s}_2-\textbf{s}_1)^T\textbf{n}<\sout{||\textbf{n}||^2}\\ \iff&(\textbf{s}_2-\textbf{s}_1)^T\textbf{n}<-\frac{1}{2}||\textbf{s}_2-\textbf{s}_1||^2 \end{aligned}

注意不等式的左边,n\textbf{n} 是一个二维 Gaussian 随机变量,(s2s1)Tn(\textbf{s}_2-\textbf{s}_1)^T\textbf{n} 也满足 Gaussian 变量,其均值为 0,而方差为

E[(s2s1)TnnT(s2s1)]=N02s2s12\mathbb{E}[(\textbf{s}_2-\textbf{s}_1)^T\textbf{n}\textbf{n}^T(\textbf{s}_2-\textbf{s}_1)]=\frac{N_0}{2}||\textbf{s}_2-\textbf{s}_1||^2

协方差

假设一个随机变量X=[X1,X2,...,Xn]T\textbf{X}=[X_1,X_2,...,X_n]^T,均值μi=E(Xi)\mu_i=\mathbb{E}(X_i),协方差矩阵为第(i,j)(i,j) 项为

Σij=cov(Xi,Xj)=E[(Xiμi)(Xjμj)]\Sigma_{ij}=cov(X_i,X_j)=\mathbb{E}[(X_i-\mu_i)(X_j-\mu_j)]

的矩阵。

随机变量的方差可以写作协方差的形式:

var(X)=cov(X,X)var(\mathbf{X})=cov(\mathbf{X},\mathbf{X})

我们令

d122=s2s12d_{12}^2=||\textbf{s}_2-\textbf{s}_1||^2

那么(s2s1)TnN(0,N02d122)(\textbf{s}_2-\textbf{s}_1)^T\textbf{n}\sim\mathcal{N}(0,\cfrac{N_0}{2}d_{12}^2),则

D1f(rs2)=Pr{N(0,N02d122)<12d122}=Q(d122/2d12N0/2)=Q(d1222N0)\begin{aligned} &\int_{\mathcal{D}_1}f(\textbf{r}|\textbf{s}_2)\\ =&Pr\{\mathcal{N}(0,\frac{N_0}{2}d_{12}^2)<-\frac{1}{2}d_{12}^2\}\\ =&Q(\frac{d_{12}^2/2}{d_{12}\sqrt{N_0/2}})\\ =&Q(\sqrt{\frac{d_{12}^2}{2N_0}}) \end{aligned}

根据对称性,D2f(rs1)=Q(d122/(2N0))\int_{\mathcal{D}_2}f(\textbf{r}|\textbf{s}_1)=Q(\sqrt{d_{12}^2/(2N_0)})

有趣的是,我们在推导过程中并没有利用到s1\textbf{s}_1s2\textbf{s}_2 正交的性质 —— 这样看来,上面的错误率推导对单纯的二进制双极性信号也是适用的。

# 一般的二进制等能量、等概率信号

我们把上面的讨论推广到更加一般的情况。考虑两个发送符号

s1=s2=Eb||\textbf{s}_1||=||\textbf{s}_2||=\sqrt{\mathcal{E}_b}

两个符号之间的距离的平方d122=s2s12=s22+s122<s2,s1>=2Eb(1ρ)d_{12}^2=||\textbf{s}_2-\textbf{s}_1||^2=||\textbf{s}_2||^2+||\textbf{s}_1||^2-2<\textbf{s}_2,\textbf{s}_1> =2\mathcal{E}_b(1-\rho),其中

ρ=<s2,s1>s2s1, we call ρ correlation coefficient\rho=\frac{<\textbf{s}_2,\textbf{s}_1>}{||\textbf{s}_2||\cdot||\textbf{s}_1||},\ {\rm we\ call\ \rho\ {\bf\color{gray}correlation\ coefficient}}

这样,接收机的错误率为

Pe=Q(d1222N0)=Q((1ρ)EbN0)P_e=Q(\sqrt{\frac{d_{12}^2}{2N_0}})=Q(\sqrt{(1-\rho)\frac{\mathcal{E}_b}{N_0}})

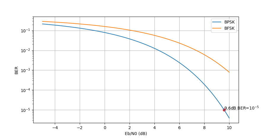
这是一般情况下二进制等概率等能量信号接收机的错误概率,我们能够绘制两种常见的调制方式的比特错误率 - 信噪比曲线

可见 BPSK 和 BFSK 相比,抗噪声性能存在明显优势。此外,对于 BER=10510^{-5} 的情况,BPSK 需要 9.6dB 的信噪比,这是在工程中常用的重要数据。